Предмет: Алгебра,
автор: Аноним
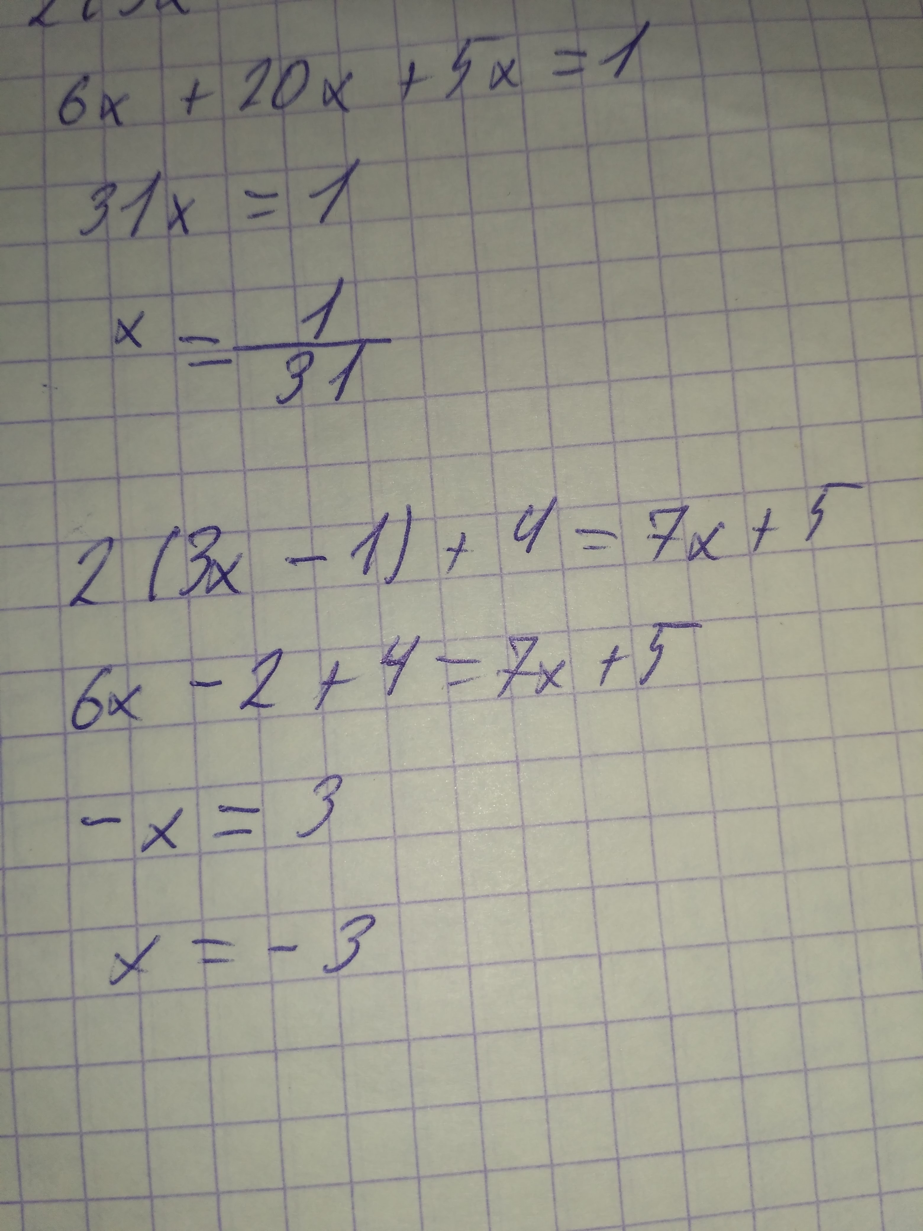
Уравнение первой и второй степени
1)2x-6=4x+16
2)3(x-2)+5(7-x)=4
Ответы
Автор ответа:
0
1)2х-6=4х+16
-2х=22
х=-11
2)3(х-2)+5(7-х)=4
3х-6+35-5х=4
-2х=-25
х=12,5
Приложения:
Автор ответа:
0
Ща еще один добавлю
Автор ответа:
0
ок
Автор ответа:
0
Добавил
Автор ответа:
0
ага ещё раз спасибо :)
Автор ответа:
0
Эхх мне бы кто с векторной физикой помог :( у нас завтра самостоялка
Похожие вопросы
Предмет: Українська мова,
автор: Аноним
Предмет: Литература,
автор: printsesaukraina2017
Предмет: Математика,
автор: uliana030303
Предмет: История,
автор: Аноним