Предмет: Математика,
автор: anna2224445
Решите! Очень срочно! Расписать в действиях!
Приложения:
Ответы
Автор ответа:
0
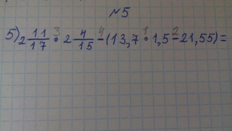
1)13,7×1,5=20,55
2)20,55-21,55=-1
3)2 11/17 ×2 4/15=6
4) 6-(-1)=минус на минус дает плюс
значит 6-(-1)=6+1=7
ответ=7
2)20,55-21,55=-1
3)2 11/17 ×2 4/15=6
4) 6-(-1)=минус на минус дает плюс
значит 6-(-1)=6+1=7
ответ=7
Похожие вопросы
Предмет: Математика,
автор: 1aigerima1
Предмет: Математика,
автор: daryaposkochinova
Предмет: Литература,
автор: dariaprokopova28
Предмет: География,
автор: давашечка
Предмет: Математика,
автор: makhanovaanar