Предмет: Математика,
автор: moyi43
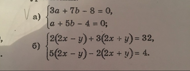
Помогите пожалуйста решить!!!
Приложения:
Ответы
Автор ответа:
0
это первое, способ алгебраическое сложение, по- моему.
Приложения:
Похожие вопросы
Предмет: Английский язык,
автор: kfbbmgjih
Предмет: Немецкий язык,
автор: Аноним
Предмет: Математика,
автор: rogozhin0019
Предмет: Геометрия,
автор: yahooooo12345
Предмет: Химия,
автор: Аноним