Предмет: Математика,
автор: Аноним
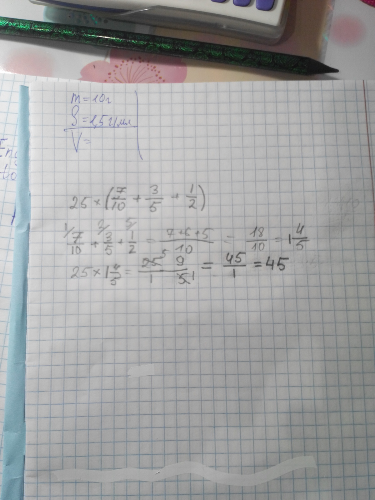
25×(7/10+3/5+1/2) решение в строку
Ответы
Автор ответа:
0
Вот решение))) если что, обращайся)))
Приложения:
Автор ответа:
0
Спасибо большое!
Похожие вопросы
Предмет: Русский язык,
автор: OneLey
Предмет: История,
автор: abdrazakovatamara
Предмет: Английский язык,
автор: petrenkozhenia08
Предмет: Математика,
автор: vtrokhina