Предмет: Математика,
автор: samirasema
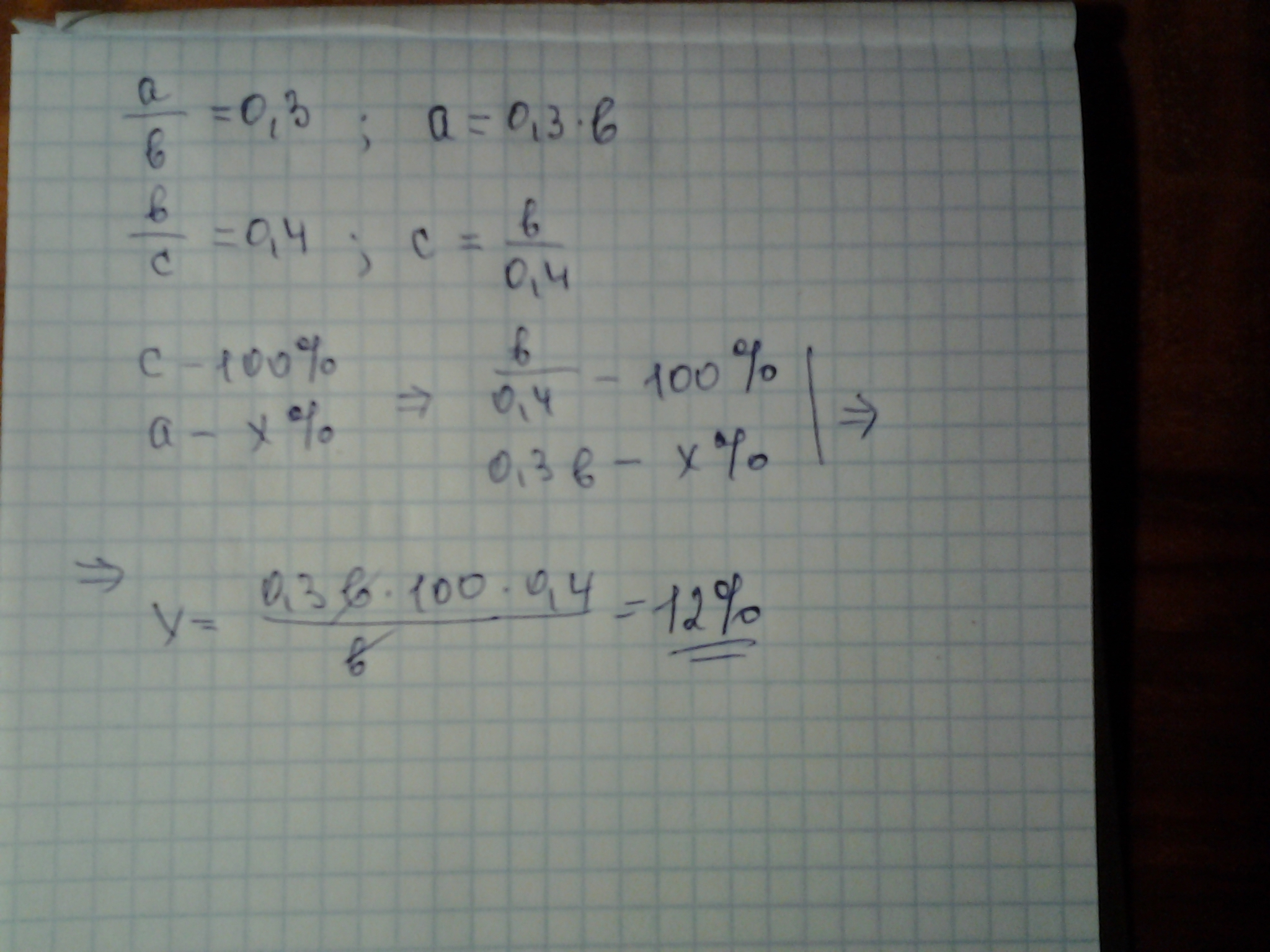
Отношение чисел а и б равно 0,3, а отношение чисел б и с равно 0,4. Сколько процентов составляет число а от числа с ?
Ответы
Автор ответа:
0
Применено определение процента
Приложения:
Похожие вопросы
Предмет: Литература,
автор: himahimova
Предмет: Химия,
автор: nikaspak46
Предмет: Алгебра,
автор: gorshokkakashek
Предмет: Биология,
автор: karagaevaoksi
Предмет: Математика,
автор: gum123moskov