Предмет: Алгебра,
автор: НикольНиколь1997
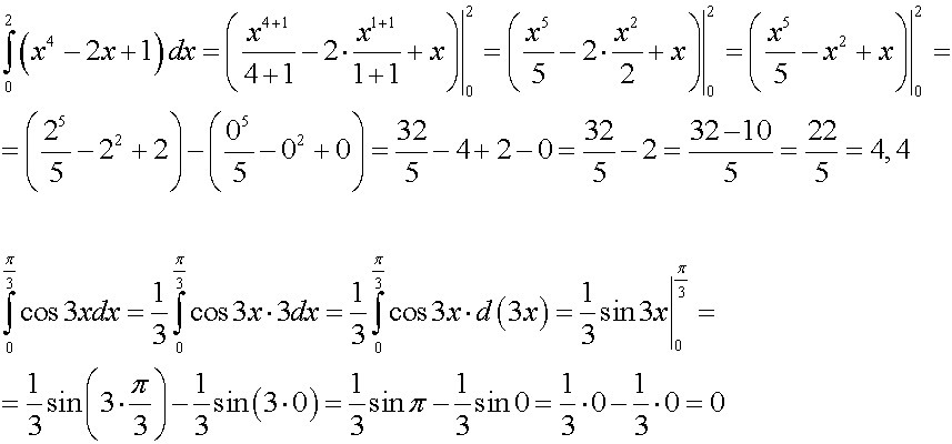
Вычислите определённый интеграл.
Приложения:
Ответы
Автор ответа:
0
Решение на картинке:
Приложения:
Похожие вопросы
Предмет: Математика,
автор: ikata5191
Предмет: Алгебра,
автор: makhmetova0200
Предмет: Алгебра,
автор: altynnajmanova812
Предмет: Геометрия,
автор: mminetullina13
Предмет: Математика,
автор: dianaasylbek2003