Предмет: Алгебра,
автор: NGTRussian
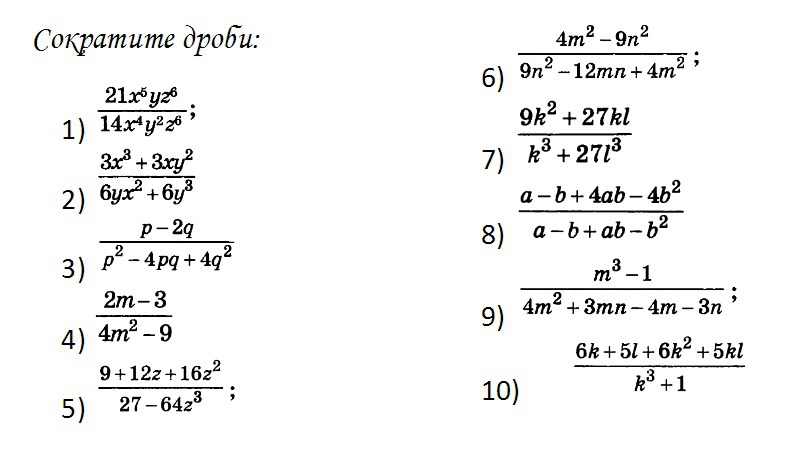
Помогите решить 4, 7, 8, 9, 10
Приложения:
Ответы
Автор ответа:
0
Решение на картинке:
Приложения:
Автор ответа:
0
Спасибо большое, я просто забыл за целое лето как сокращать эти дроби! Спасибо за быстроту!)
Похожие вопросы
Предмет: Математика,
автор: n00jij554
Предмет: Физика,
автор: brawlkod7777
Предмет: Қазақ тiлi,
автор: polinajsjdjkaojheb
Предмет: Математика,
автор: Polina870
Предмет: Математика,
автор: serzhtimokhinser