Предмет: Математика,
автор: тоня53
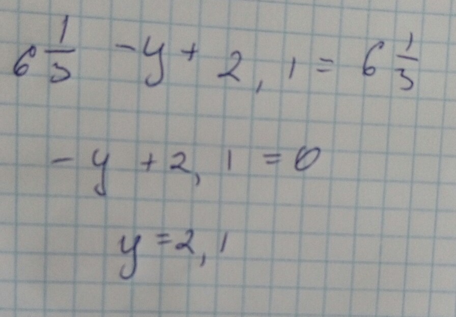
6⅓-у+2,1=6⅓ (ПОМОГИТЕ!!!!)
Ответы
Автор ответа:
0
Как-то так , я просто сократила
Приложения:
Похожие вопросы
Предмет: Математика,
автор: 1Natachka1
Предмет: Английский язык,
автор: springtrap7
Предмет: Алгебра,
автор: nadiaturilo
Предмет: Математика,
автор: rnasirlaev
Предмет: Литература,
автор: Аноним