Предмет: Алгебра,
автор: Аноним
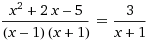
Решить уравнение:
1+2/х-1-6/х^2-1=3/х+1
смотрите вложение.
Приложения:
Ответы
Автор ответа:
0
перший раз не вийшло скинуть)
Приложения:
Похожие вопросы
Предмет: Английский язык,
автор: itashi28
Предмет: Английский язык,
автор: rrasher826
Предмет: Биология,
автор: mketebayevna
Предмет: География,
автор: АняИванова12
Предмет: Обществознание,
автор: Kate199