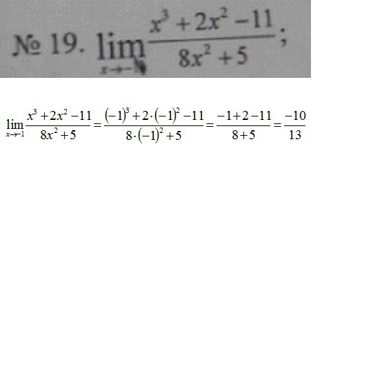
Предмет: Математика, автор: Руслан1210

решение пределов оба примера

Приложения:

Ответы

Автор ответа: kirichekov
0
№ 21 во вложении----------------
Приложения:
Автор ответа: Руслан1210
0
извините у меня только это фото есть,поэтому я сам не знаю к чему,спасибо и на этом)напишите пожалуйста ,какую программу используете?
Автор ответа: Руслан1210
0
там -1
Автор ответа: Руслан1210
0
в 19
Похожие вопросы
Предмет: Алгебра, автор: pavlovadara020