Предмет: Алгебра,
автор: marsksenia
решите пожалуйста
10 класс
Приложения:
Ответы
Автор ответа:
0
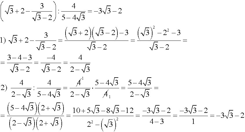
Решение на картинке:
Приложения:
Похожие вопросы
Предмет: Русский язык,
автор: aleksandragerb4
Предмет: География,
автор: kalimulinaanisa
Предмет: Биология,
автор: nastunka53
Предмет: Литература,
автор: hecvfh