Предмет: Алгебра,
автор: Даша811
Помогите, пожалуйста, решить!
Приложения:
Ответы
Автор ответа:
0
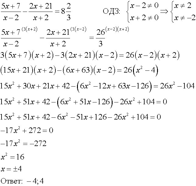
Решение на картинке:
Приложения:
Похожие вопросы
Предмет: Физика,
автор: nzalgasbajkyzy
Предмет: Математика,
автор: onlyzt
Предмет: Математика,
автор: Аноним
Предмет: Геометрия,
автор: VLKOLCH
Предмет: Химия,
автор: Gluschenkoffro