Предмет: Алгебра,
автор: Weer99
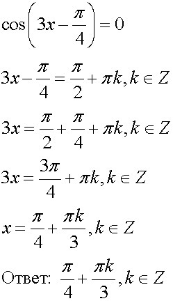
cos(3x-п/4)=0 помогите
Ответы
Автор ответа:
0
Решение на картинке:
Приложения:
Похожие вопросы
Предмет: Физика,
автор: grandmangalpel
Предмет: Математика,
автор: Аноним
Предмет: Русский язык,
автор: alinaredkaja
Предмет: Обществознание,
автор: Natasha9825
Предмет: Математика,
автор: дрига