Предмет: Физика,
автор: Sinolik
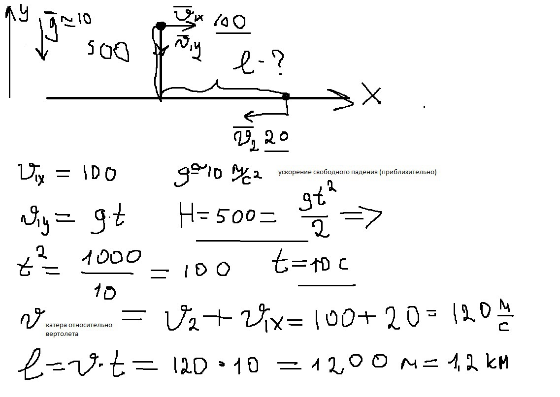
Вертолет летит вдоль реки на высоте 500 м со скоростью 100 м/с. Навстречу вертолету по реке дви жется катер со скоростью 20 м/с, на который с вер толета сбрасывают груз.На каком расстоянии должен находиться катер в момент сброса груза?
Ответы
Автор ответа:
0
Ответ 1,2 км........................................
Приложения:
Похожие вопросы
Предмет: Психология,
автор: AnnushkaKrayushkina
Предмет: Психология,
автор: AnnushkaKrayushkina
Предмет: Психология,
автор: AnnushkaKrayushkina
Предмет: Геометрия,
автор: zhenya2209