Предмет: Математика,
автор: KɑԵվLҽ
Номер 4
Помогите
Решите
Что-то заплутала
не понимаю
плиииз
лав всех
Приложения:
Ответы
Автор ответа:
0
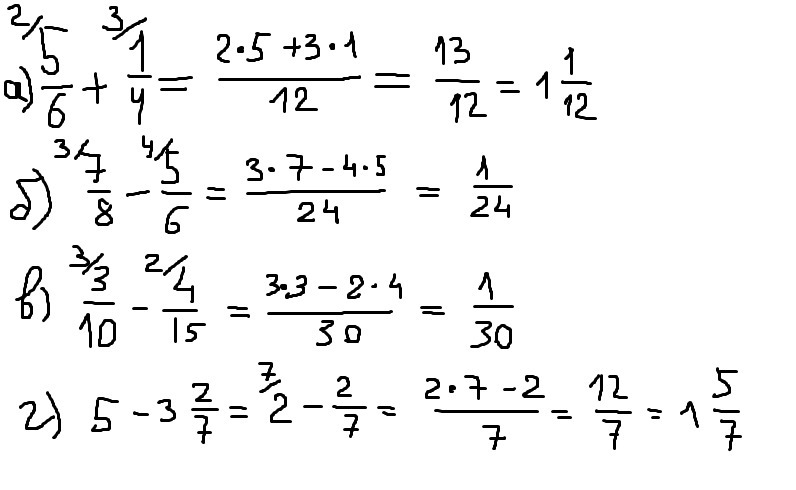
Решение...............................................
Приложения:
Похожие вопросы
Предмет: Математика,
автор: Yumzanacybenova6619
Предмет: История,
автор: onetvinc
Предмет: Английский язык,
автор: galaxyi
Предмет: Математика,
автор: goli5enkoolga