Предмет: Математика,
автор: Элизавета11
помогите решить последний пример очень срочно
Приложения:
Ответы
Автор ответа:
0
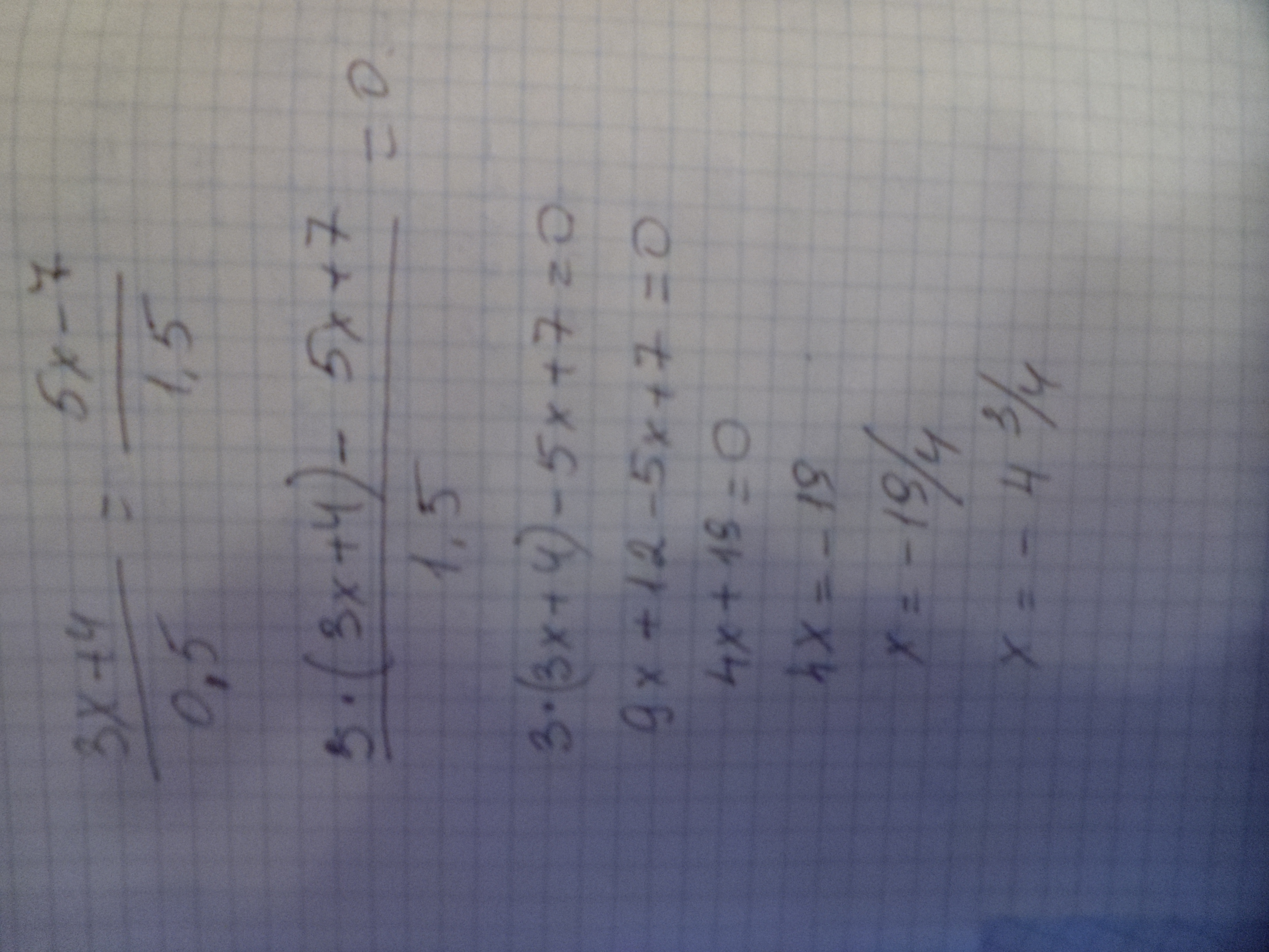
решение во вложении.................
Приложения:
Похожие вопросы
Предмет: Русский язык,
автор: samborskijvlad76
Предмет: Информатика,
автор: vipalinaza35
Предмет: Математика,
автор: spisyvatel228
Предмет: Алгебра,
автор: Аноним
Предмет: Математика,
автор: alekseifeofano