Предмет: Алгебра,
автор: solbrine2
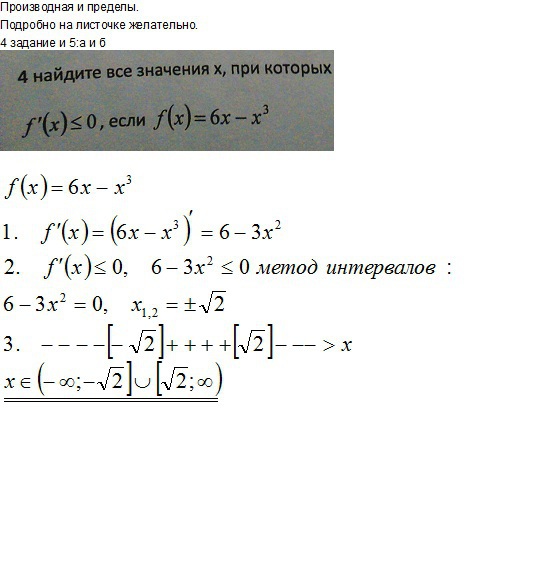
Производная и пределы.
Подробно на листочке желательно.
4 задание и 5:а и б
Приложения:
Ответы
Автор ответа:
0
решение во вложении----------------------
Приложения:
Похожие вопросы
Предмет: Биология,
автор: Dag459
Предмет: Математика,
автор: avatariaimecty
Предмет: Математика,
автор: Аноним
Предмет: Физика,
автор: i0101
Предмет: Математика,
автор: DiaMaTTo