Предмет: Алгебра,
автор: augustinaroxanova
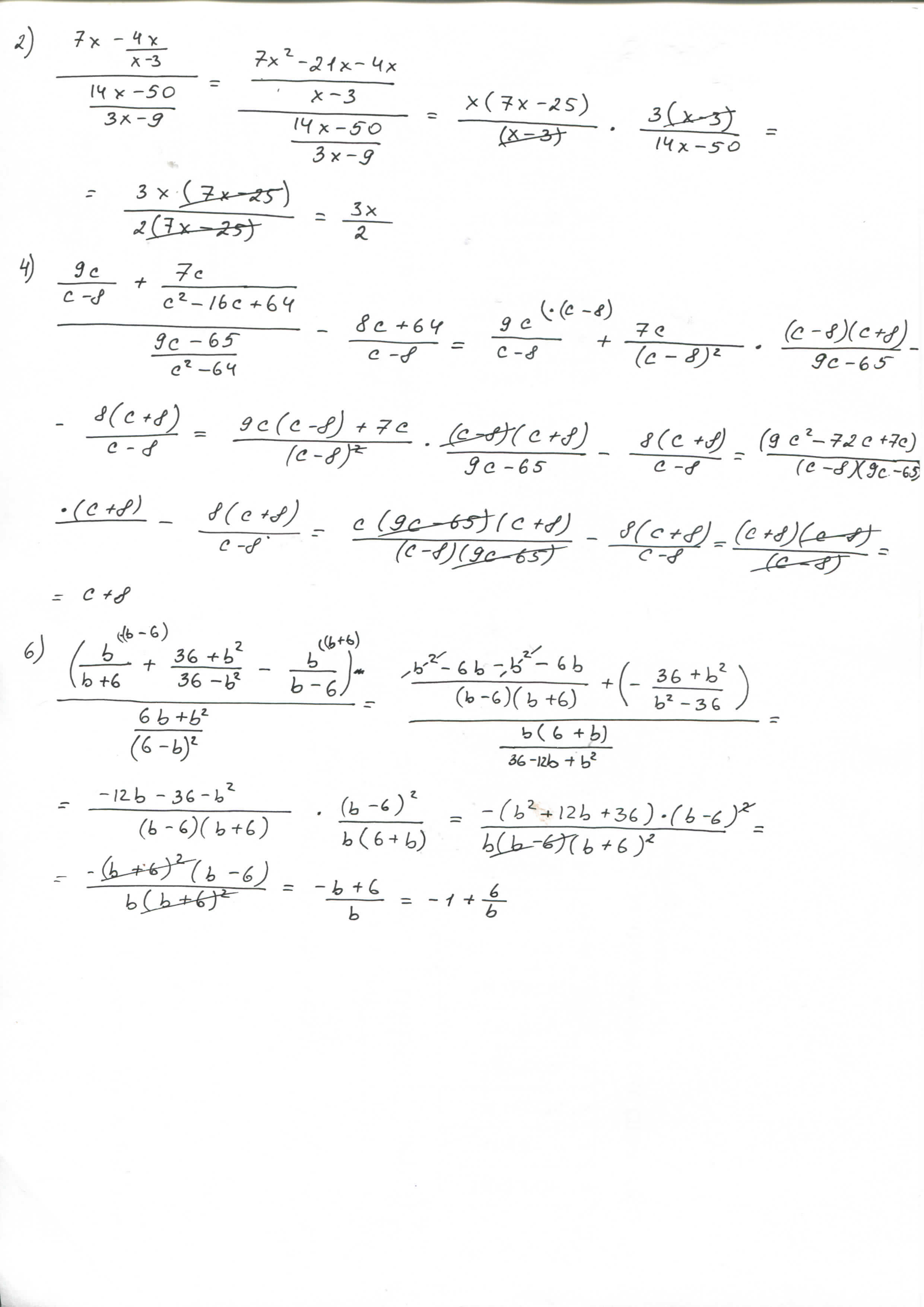
SOS!!!!!помогите решить 2,4,6 примеры с дробями!!!!)))срочно надо решить!!!!!)))) помогите,прошу!
Приложения:
Ответы
Автор ответа:
0
Решение на картинке
В 6 wolframalpha показал ответ с обратным знаком..., но суть решения такова
В 6 wolframalpha показал ответ с обратным знаком..., но суть решения такова
Приложения:
Автор ответа:
0
благодарю:)
Похожие вопросы
Предмет: Психология,
автор: ruslana7896
Предмет: Русский язык,
автор: anonummm
Предмет: Математика,
автор: sevaranizamova11
Предмет: История,
автор: bekristina2011
Предмет: Алгебра,
автор: Нвздлорпавпро