Предмет: Геометрия,
автор: grishkovanyush
Задание на фото, объясните как решать
Приложения:
Ответы
Автор ответа:
0
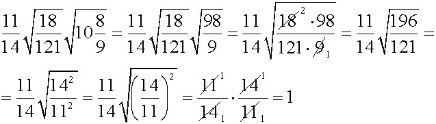
Решение в приложенном файле:
Приложения:
Автор ответа:
0
Спасибо
Похожие вопросы
Предмет: Математика,
автор: Sillllnyy
Предмет: Литература,
автор: Аноним
Предмет: Математика,
автор: jfntfjjfj
Предмет: География,
автор: vikacom320
Предмет: Математика,
автор: Сандра197