Предмет: Математика,
автор: lisk209
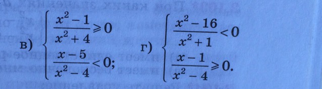
Помогите, пожалуйста, решить?
Приложения:
Ответы
Автор ответа:
0
В) . На Г) не хватило места
Приложения:
Автор ответа:
0
в ответе опечатка. от минус бесконечности до -2 надо.
Автор ответа:
0
Спасибо
Похожие вопросы
Предмет: История,
автор: viktoriyavigovskaya
Предмет: Биология,
автор: sashko20122004
Предмет: География,
автор: veronika3580
Предмет: Математика,
автор: tanyatata76
Предмет: Литература,
автор: danila00028