Предмет: Алгебра,
автор: PriZeDent
Приветствую!Кто сможет,чем поможет Помогите,все забыл,хх,как сделать 2,3,5 Задания!
Приложения:
Ответы
Автор ответа:
0
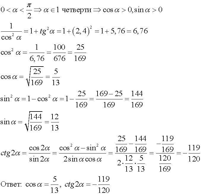
Решение представлено на картинке
Приложения:
Автор ответа:
0
А там все в 1 строчку,нету подробностей?*
Автор ответа:
0
в скобках косинус суммы углов, поэтому только так
Автор ответа:
0
Давайте с вами так,я вам отдам эти все 42 балла,а вы бы еше 1 решили,со своим сверю,смотрю вы Хорошо все сделали)+
Автор ответа:
0
добавил
Автор ответа:
0
Спасибо тебе,Хороший Человек!Вот мои обещанные)
Похожие вопросы
Предмет: Геометрия,
автор: fuflowichfuflo
Предмет: Физика,
автор: safetanya
Предмет: Биология,
автор: vikusakrasilish
Предмет: Литература,
автор: severin5555ru