Предмет: Геометрия,
автор: 5173928
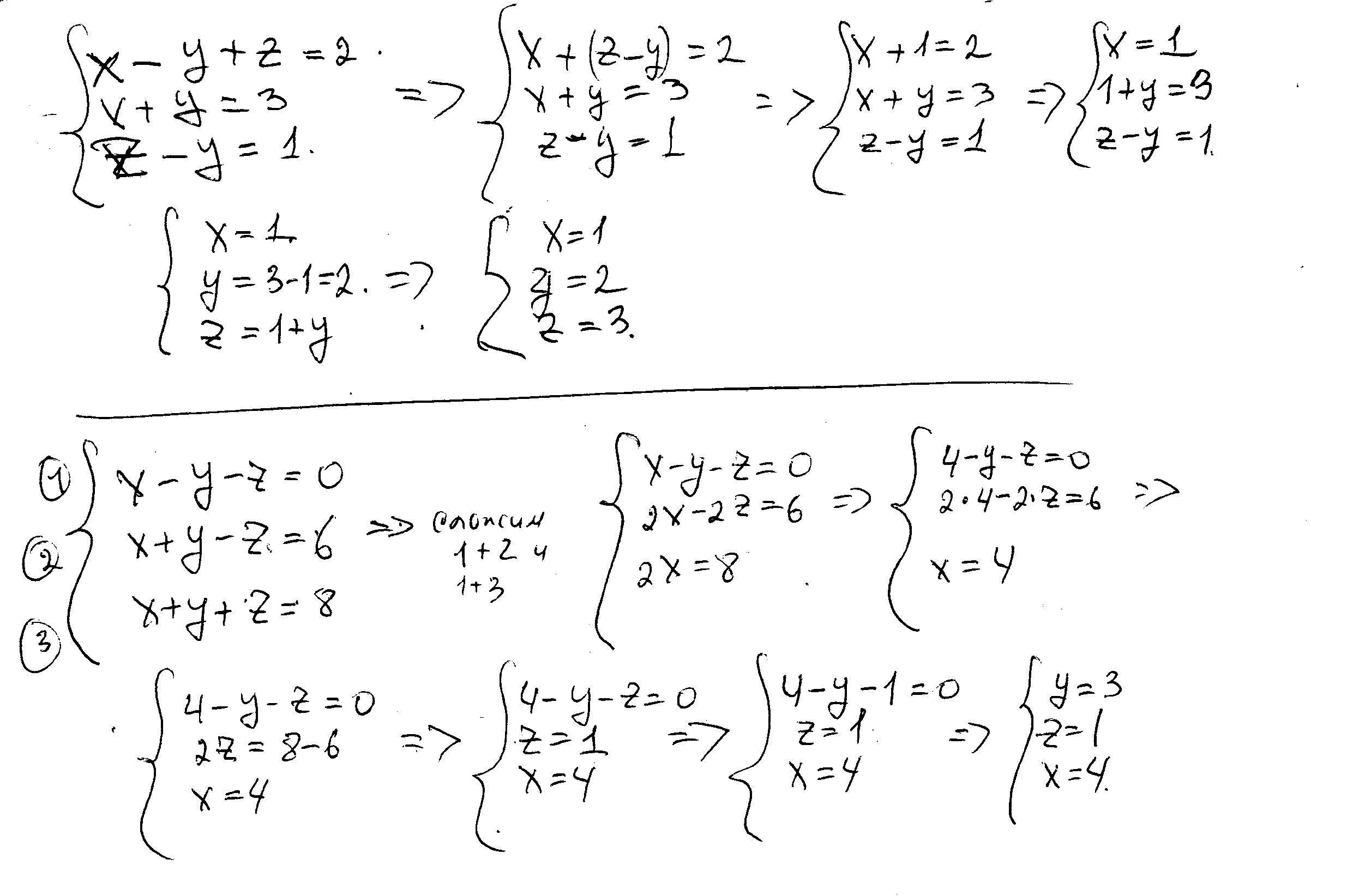
Решить системы линейных уравнений ЛЮБЫМИ способами, задание 4 (1 и 2), заранее спасибо (18 баллов)
Приложения:
Ответы
Автор ответа:
0
решение в скане.................
Приложения:
Похожие вопросы
Предмет: Химия,
автор: Xfb
Предмет: Математика,
автор: allymarynova
Предмет: Химия,
автор: dashhkaaa79
Предмет: Химия,
автор: alexxx23
Предмет: Литература,
автор: starovoitov