Предмет: Алгебра,
автор: dota2bog1
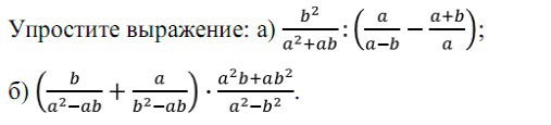
выполните задание срешением
Приложения:
Ответы
Автор ответа:
0
!!!!!!!!!!!!!!!!!!!!
Приложения:
Похожие вопросы
Предмет: Алгебра,
автор: egorboom97
Предмет: Русский язык,
автор: katyaigonina87
Предмет: История,
автор: kvachyklol
Предмет: Алгебра,
автор: ИИльяя
Предмет: Математика,
автор: ильдар4545