Предмет: Алгебра,
автор: Арен15
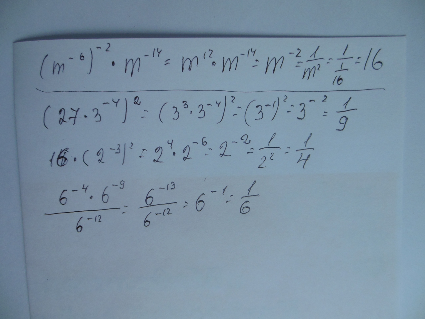
помогите пожалуйста умоляю нужно сроЧно если трудно напиши на бумаге сфоткай и отправь заранее спасибо
Приложения:
Ответы
Автор ответа:
0
!!!!!!!!!!!!!!!!!!!!!!!!!!!!!!!!!!!!!
получается а⁻², а это 1/а²
а²=(1/2)²=1/4, значит
1/(1/4)=4
ведь если 1 разделить на 1/4, получим 4
Не знаю, понятно ли?
получается а⁻², а это 1/а²
а²=(1/2)²=1/4, значит
1/(1/4)=4
ведь если 1 разделить на 1/4, получим 4
Не знаю, понятно ли?
Приложения:
Автор ответа:
0
С каким?
Автор ответа:
0
Шяс
Автор ответа:
0
http://znanija.com/task/19202281
Автор ответа:
0
Я добавил задание
Автор ответа:
0
http://znanija.com/task/19202291
Похожие вопросы
Предмет: Английский язык,
автор: Bfrutik
Предмет: Английский язык,
автор: Аноним
Предмет: Русский язык,
автор: mariaporosenko52
Предмет: Алгебра,
автор: Аноним