Предмет: Геометрия,
автор: d23gj2
Помогите пожалуйста решить 4 и 5 задания
Желательно, чтобы был чертеж
Приложения:
Ответы
Автор ответа:
0
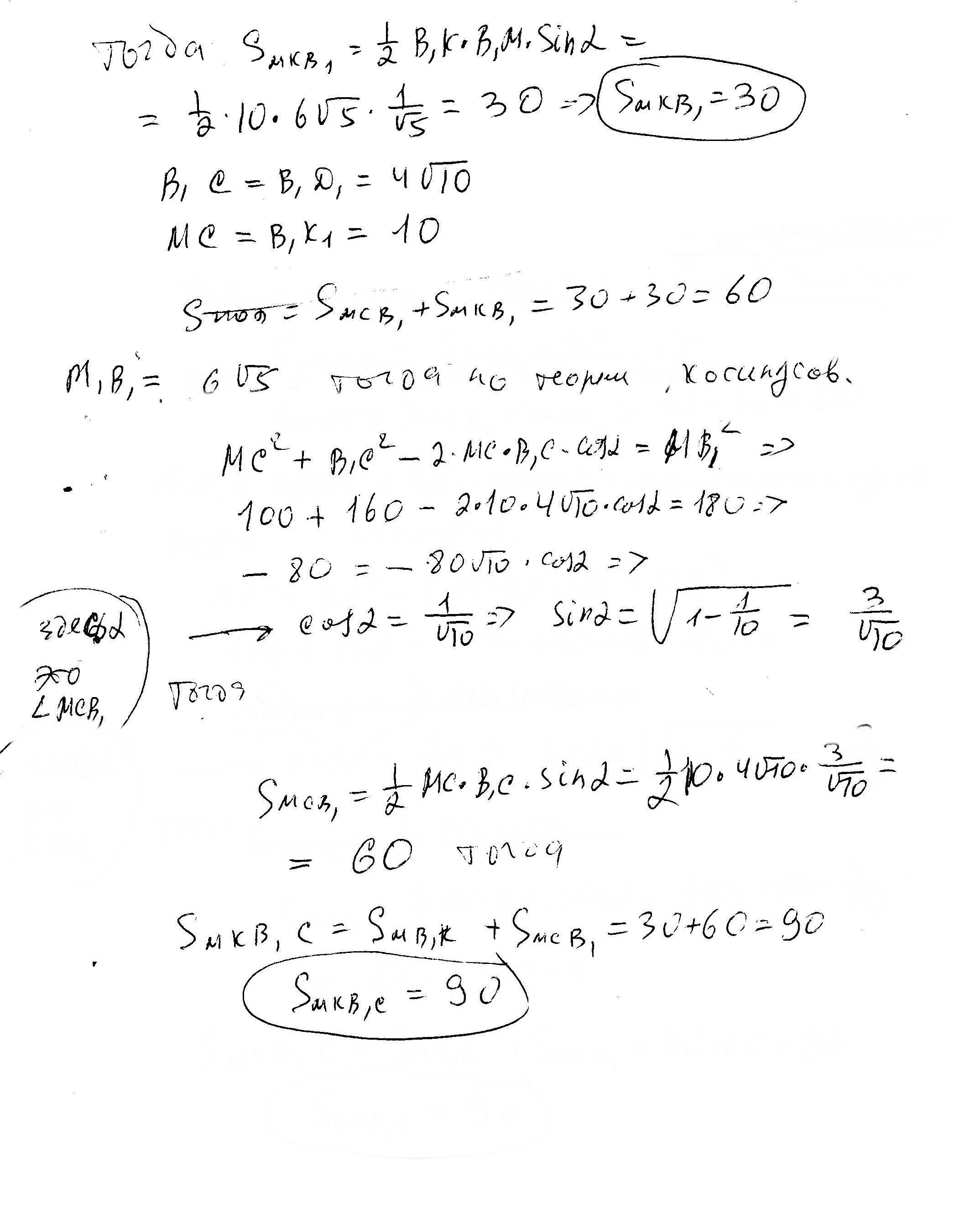
на вторую уже нет сил, но эта стоит двух
Приложения:
Похожие вопросы
Предмет: Українська мова,
автор: mirzahanovamedea
Предмет: Физика,
автор: tocswrh
Предмет: Математика,
автор: twink1y1998
Предмет: История,
автор: гпрппи
Предмет: Алгебра,
автор: rita0202