Предмет: Геометрия,
автор: dashakotyara
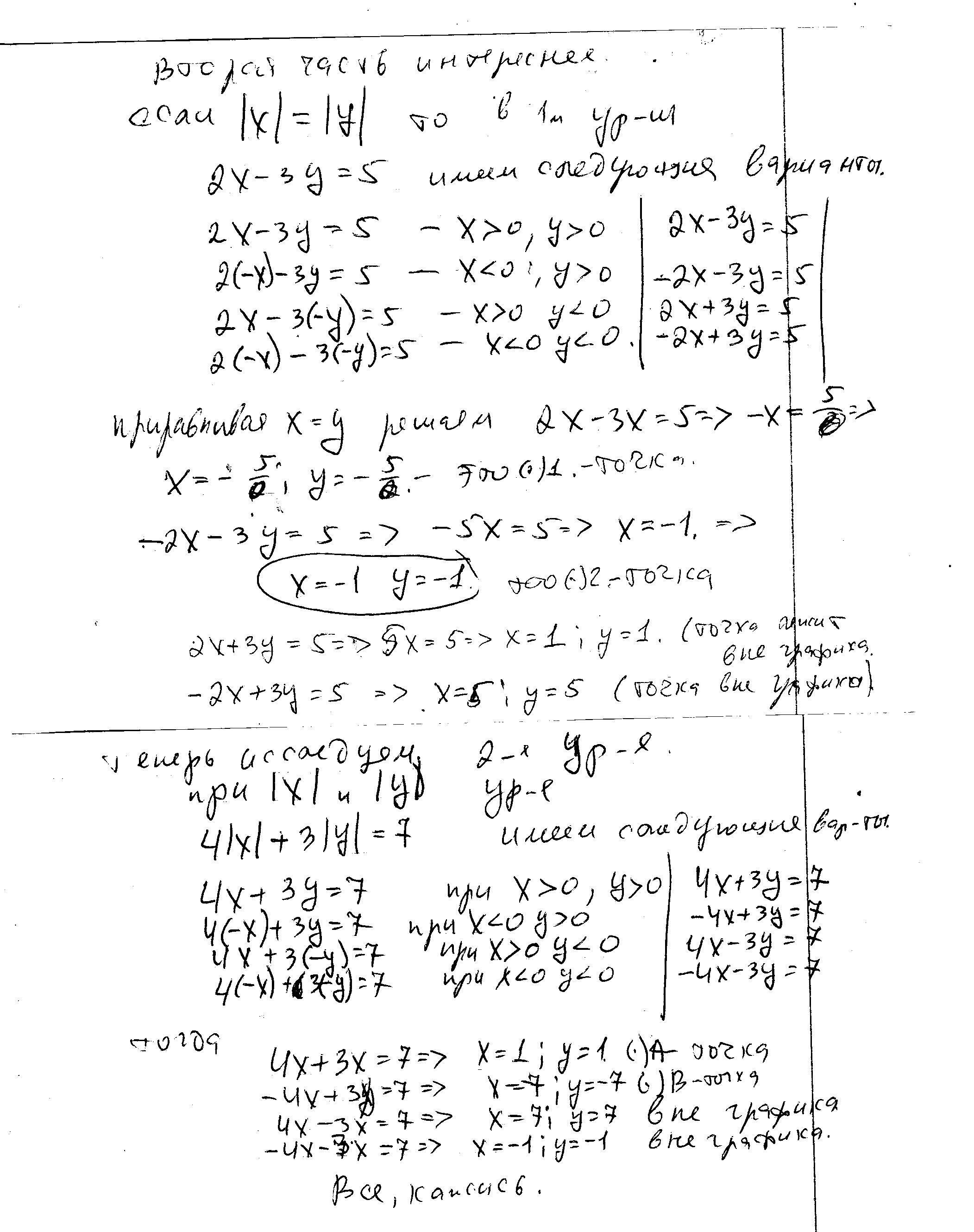
постройте график уравнения
найдите на графике точки , у которых абсцисса и ордината равны по модулю:)
Приложения:
Ответы
Автор ответа:
0
решение в скане...........
Приложения:
Похожие вопросы
Предмет: Математика,
автор: kggg13vv
Предмет: История,
автор: kurbanalisultanov80
Предмет: Русский язык,
автор: 02211966
Предмет: Химия,
автор: alienvpredator
Предмет: Математика,
автор: apollosha