Предмет: Математика,
автор: anjelo4ka
помогите решить 10 задание
Приложения:
Ответы
Автор ответа:
0
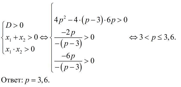
решение находится в файле
Приложения:
Автор ответа:
0
условия в системе не точные... для существования корней необходимо D>=0))) и из условия х1 * х2 > 0 не следует требуемая положительность корней... ( по этому условию они могут быть и оба одновременно отрицательными)... ответ верный)))
Автор ответа:
0
Да, в первом неравенстве, знак >=, опечатка. Остальное всё верно.
Автор ответа:
0
Положительность корней следует из положительности их суммы и произведения, которые выражаются через коэффициенты по теореме Виета.
Автор ответа:
0
да)) соглашусь... не учла, что система (пересечение) условий...
Автор ответа:
0
каникулы сказываются))
Похожие вопросы
Предмет: Физика,
автор: ziyatmagdatov
Предмет: Геометрия,
автор: Аноним
Предмет: Алгебра,
автор: sevila96
Предмет: Математика,
автор: ismailovapasha1