Предмет: Алгебра,
автор: Лола68906
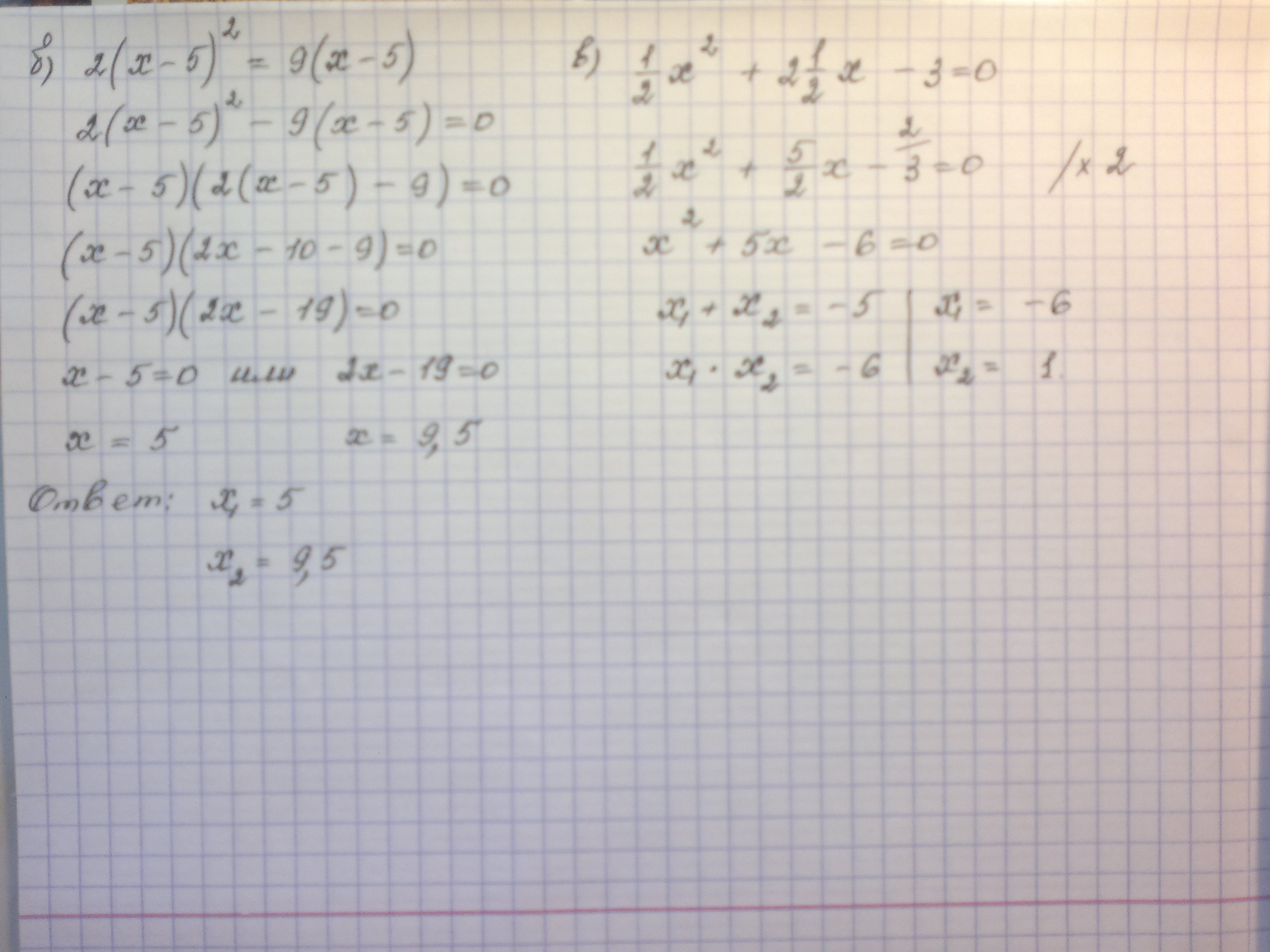
помогите решить уравнения. а) 4-9(x-3)^2=0. б)2(x-5)^2=9(x-5). в) 1/2х^2+2 1/2х-3=0. г)(x-3)^4-13(x-3)^2+36=0
Ответы
Автор ответа:
0
Пишите, если что не так
Приложения:
Автор ответа:
0
спасибо большое )
Автор ответа:
0
Пожалуйста
Похожие вопросы
Предмет: Алгебра,
автор: Mihals
Предмет: История,
автор: csmaster063
Предмет: Право,
автор: Merlin33
Предмет: Математика,
автор: katin78