Предмет: Алгебра,
автор: lika19981973
Помогите пожалуйста
найти наибольшее значение x удволетв. неравенству
2*4^x>6^x+3*9^x
Ответы
Автор ответа:
0
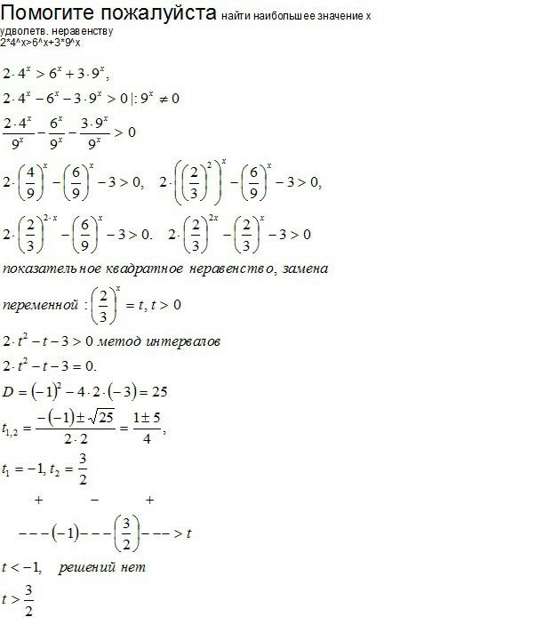
решение во вложении--------------
Приложения:
Автор ответа:
0
спасииибо)
Автор ответа:
0
а почему в 5 строке 2/3^2x а не просто в степени x?
Автор ответа:
0
распишу подробно
Автор ответа:
0
Делим неравенство на 9ˣ ≠ 0. Получаем неравенство:
2t² >t+3, где t= (2/3)ˣ; t > 0 при любом х.
2t² - t - 3>0
D=(-1)²-4·2·(-3)=25=5²
t=(1+5)/4=3/2 или t=(1-5)/4=-1
___+___(-1)_________(3/2)___+____
Учитывая, что t > 0, получаем ответ
t >3/2.
Возвращаясь к переменной х
(2/3)ˣ > (3/2);
(2/3)ˣ > (2/3)⁻¹
x<-1
x∈(-∞;-1)
На интервале (-∞;-1)нет наибольшего х.
Если в условии неравенство имеет знак ≥, то x∈(-∞;-1]
Тогда наибольшее х=-1.
x=-2 наибольшее целое х, удоветворяющее неравенству.
2t² >t+3, где t= (2/3)ˣ; t > 0 при любом х.
2t² - t - 3>0
D=(-1)²-4·2·(-3)=25=5²
t=(1+5)/4=3/2 или t=(1-5)/4=-1
___+___(-1)_________(3/2)___+____
Учитывая, что t > 0, получаем ответ
t >3/2.
Возвращаясь к переменной х
(2/3)ˣ > (3/2);
(2/3)ˣ > (2/3)⁻¹
x<-1
x∈(-∞;-1)
На интервале (-∞;-1)нет наибольшего х.
Если в условии неравенство имеет знак ≥, то x∈(-∞;-1]
Тогда наибольшее х=-1.
x=-2 наибольшее целое х, удоветворяющее неравенству.
Приложения:
Автор ответа:
0
СПАСИБО ВСЕМ ОГРОМНОЕ
Похожие вопросы
Предмет: Українська мова,
автор: victoria13165
Предмет: Английский язык,
автор: Аноним
Предмет: Русский язык,
автор: Vladislavvlad1209
Предмет: Геометрия,
автор: ninjagirl333