Предмет: Алгебра,
автор: sivikivi5
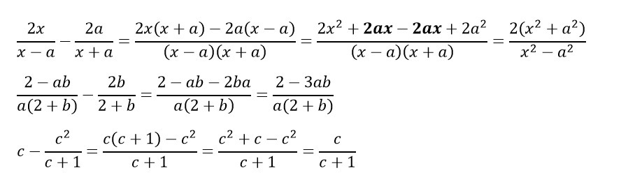
Пожалуйста помогите никак не могу решить (это дроби и на точки не обращайте внимание):
a) 2х. 2а
————— – ————
х-а. х+а
б) 2 – аb. 2b
—————— – ————
2а+аb. 2+b
c²
в) c – —————
c+1
Ответы
Автор ответа:
0
см внутри
=================
=================
Приложения:
Похожие вопросы
Предмет: География,
автор: ItzTedy
Предмет: Українська мова,
автор: anatolijkazak787
Предмет: География,
автор: maranalenciv
Предмет: Математика,
автор: www30
Предмет: Физика,
автор: fastinc