Предмет: Математика,
автор: KatyaVinecova12
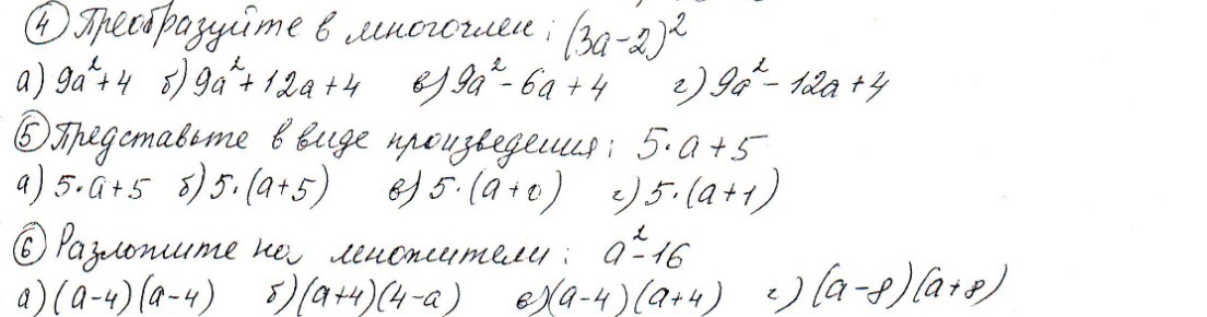
решите задания пожалуйста
Приложения:
Ответы
Автор ответа:
0
В 4ответ Г. В 5 ответ Г. В 6 ответ В. В 8 ответ В. В 9 ответ 70°. В 10 ответ Б
Похожие вопросы
Предмет: Математика,
автор: trillionors
Предмет: Математика,
автор: liuwhole
Предмет: Математика,
автор: turusbekasem8
Предмет: Математика,
автор: vovahazhiev201
Предмет: Математика,
автор: dennikish04