Предмет: Алгебра,
автор: ника468754
с 1-6 по подробнее плиз
Приложения:
Ответы
Автор ответа:
0
1. У тебе коло . У ньому можна нарахувати 8 частин (риски ) . Тобі потрібно порахувати сірі частини . Їх п'ять . Значить заштриховано 5 з 8. Відповідь : 5/8 (А)
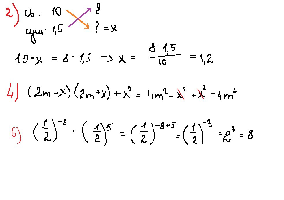
2. Вирішуєш прямий пропорцією . Дивись вкладення.
Відповідь : 1,2
3.
Тут просто треба кожен приклад прорахувати . Наприклад , в першому якщо ти х умножіщь на нуль , то нуль і вийде , не підходить . У другому якщо ти 8 примножиш на -7 , то отримаєш - 56 , підходить . Але прорахуємо і інші , про всяк випадок . Якщо ти 8 примножиш на -7 , то отримаєш -56 , а не просто 56 , не підходить . І останній , -7 теж не підходить , так як твір 8 і 7 = 56.
Відповідь : Б
4. Дивись вкладення. Користувалася формулою.
Відповідь: Г
5. Тут все просто . 4 кореня з 5 мінус 1 корінь з 5 = 3 корені з 5. 4√5 -1√5 = 3√5
Відповідь: Б
6. Дивись вкладення. Тут у тебе однакова дріб , просто різні стпені . При множенні ступеня складиваються . Негативна ступінь перетворюється в позитивну , якщо дріб перевернути .
Відповідь: 8 (В)
2. Вирішуєш прямий пропорцією . Дивись вкладення.
Відповідь : 1,2
3.
Тут просто треба кожен приклад прорахувати . Наприклад , в першому якщо ти х умножіщь на нуль , то нуль і вийде , не підходить . У другому якщо ти 8 примножиш на -7 , то отримаєш - 56 , підходить . Але прорахуємо і інші , про всяк випадок . Якщо ти 8 примножиш на -7 , то отримаєш -56 , а не просто 56 , не підходить . І останній , -7 теж не підходить , так як твір 8 і 7 = 56.
Відповідь : Б
4. Дивись вкладення. Користувалася формулою.
Відповідь: Г
5. Тут все просто . 4 кореня з 5 мінус 1 корінь з 5 = 3 корені з 5. 4√5 -1√5 = 3√5
Відповідь: Б
6. Дивись вкладення. Тут у тебе однакова дріб , просто різні стпені . При множенні ступеня складиваються . Негативна ступінь перетворюється в позитивну , якщо дріб перевернути .
Відповідь: 8 (В)
Приложения:
Похожие вопросы
Предмет: Математика,
автор: withliaaaa
Предмет: Русский язык,
автор: Gyleima
Предмет: Другие предметы,
автор: Аноним
Предмет: Информатика,
автор: Svyatoslav359