Предмет: Алгебра,
автор: ghagha0
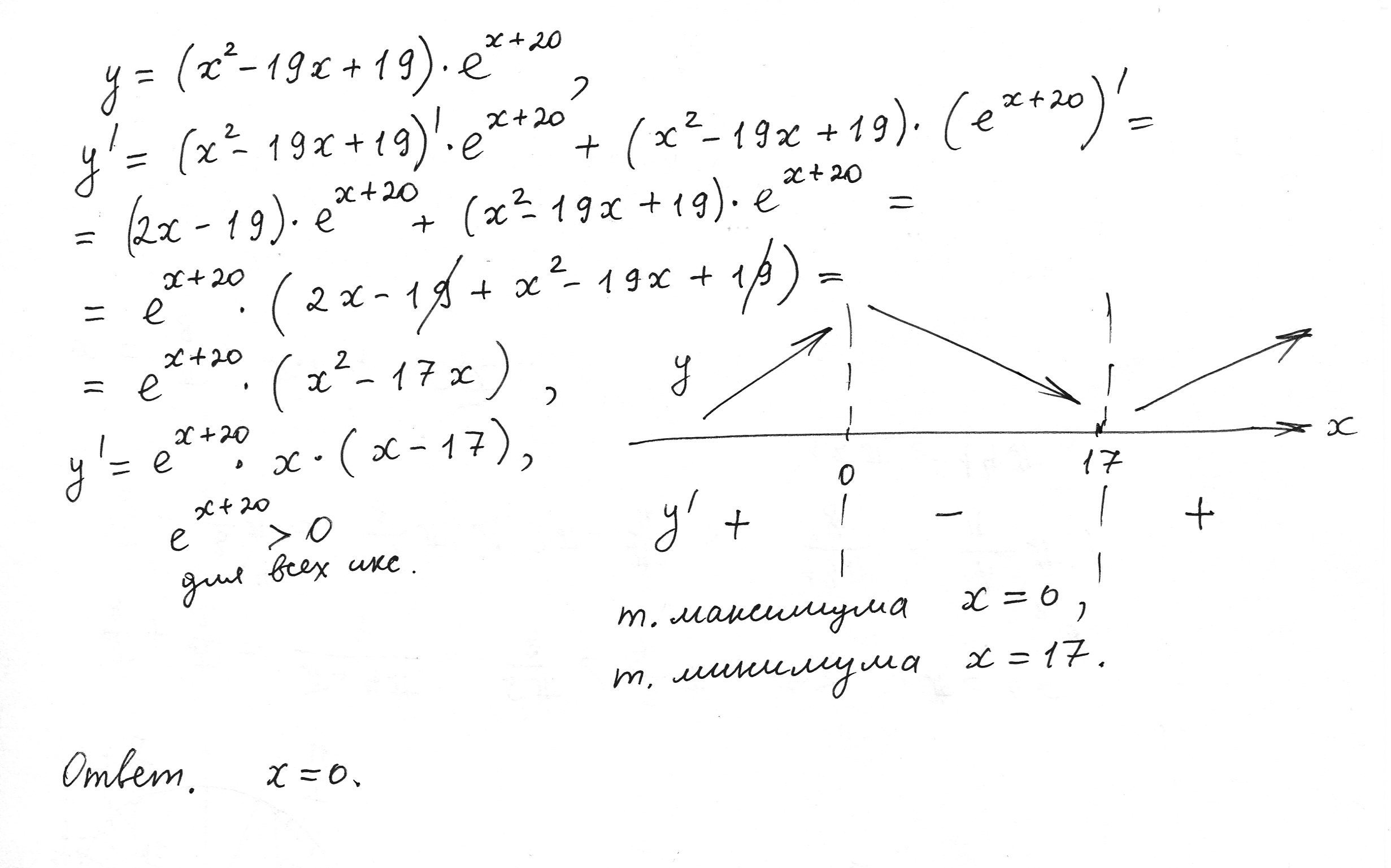
найдите точку максимума функции
Ответы
Автор ответа:
0
вот я решил на листочке, который прикрепил ниже.
Приложения:
Автор ответа:
0
огромное спасибо!
Похожие вопросы
Предмет: Алгебра,
автор: stellaokda
Предмет: Русский язык,
автор: Kuki2212
Предмет: Алгебра,
автор: aisgamer666p8akp0
Предмет: Математика,
автор: mvchjfcjfcjg
Предмет: История,
автор: erendzhager98