Предмет: Математика,
автор: любовьвасильевна
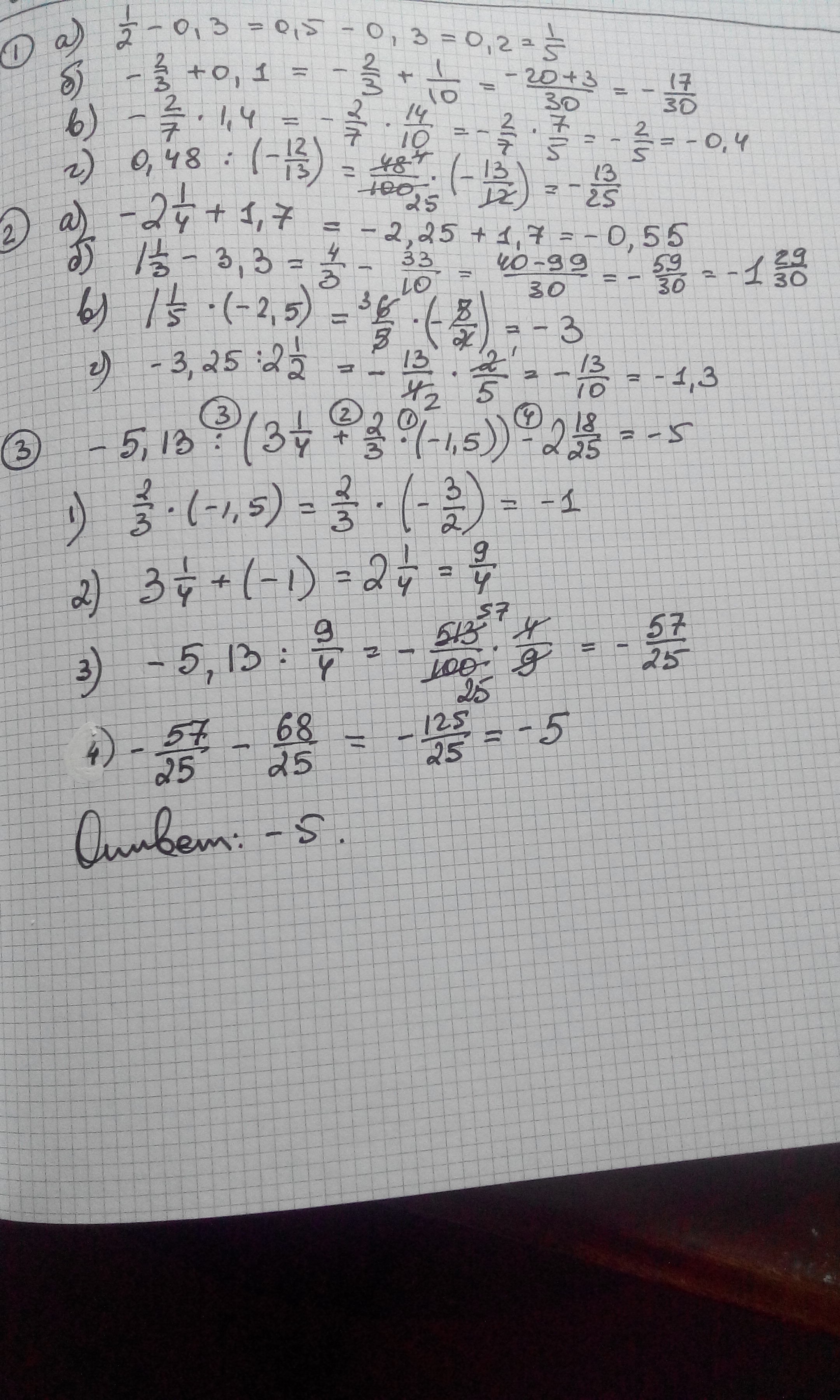
Можно это все????сразу большое спасибо
Приложения:
Ответы
Автор ответа:
0
смотри ответ на фотографии
Приложения:
Похожие вопросы
Предмет: Русский язык,
автор: 006batir
Предмет: Английский язык,
автор: asalievislam214
Предмет: Геометрия,
автор: skobel24
Предмет: Математика,
автор: nastyagantsova