Предмет: Алгебра,
автор: GerichmMine
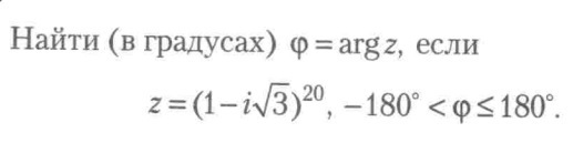
Комплексное число в степени, найти фи
Приложения:
Ответы
Автор ответа:
0
Представляем число (1-i√3)в тригонометрической форме:
|1-i√3|=√(1²+(-√3)²)=√(1+3)=√4=2
cosω=1/2
sinω=-√3/2
ω = (-π/3)
применяем формулу Муавра
z=(2·cos(-π/3)+i(sin(-π/3)))²⁰=2²⁰·(cos (20·(-π/3))+isin(20·(-π/3)))
20·(-π/3)=(-20π/3)=(-6π+(-2π/3))
-π ≤ (-2π/3)≤π в радианах
-180°≤-120°≤180° в градусах
О т в е т.
= (-2π/3) или
= (-120°)
|1-i√3|=√(1²+(-√3)²)=√(1+3)=√4=2
cosω=1/2
sinω=-√3/2
ω = (-π/3)
применяем формулу Муавра
z=(2·cos(-π/3)+i(sin(-π/3)))²⁰=2²⁰·(cos (20·(-π/3))+isin(20·(-π/3)))
20·(-π/3)=(-20π/3)=(-6π+(-2π/3))
-π ≤ (-2π/3)≤π в радианах
-180°≤-120°≤180° в градусах
О т в е т.
Похожие вопросы
Предмет: Биология,
автор: atambovceva2
Предмет: История,
автор: k8532617
Предмет: Русский язык,
автор: shavkat6496
Предмет: Алгебра,
автор: Anyaribka2001