Предмет: Математика,
автор: Apricart
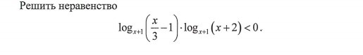
Помогите решить логарифмическое уравнение
Приложения:
Ответы
Автор ответа:
0
Давайте решим методом рационализации.
log_h(f)×log_p(g) v 0 <=> (h-1)(f-1)(p-1)(g-1) v 0
Очевидно, что по этой формуле наше неравенство равносильно следующему:
х²(х/3 - 2)(х + 1) < 0
Домножим на 3:
х²(х - 6)(х + 1) < 0
Корни каждой скобки: 0, 6 и -1 (0 - кратный корень)
Отметим на числовой прямой и решим методом интервалов.
--- + ---(-1)--- - ---(0)--- - ---(6)--- + ---> х
Получили промежуток (-1; 0)∪(0; 6)
Теперь учтем ОДЗ логарифмов.
х + 1 > 0
х + 1 ≠ 1
х/3 - 1 > 0
х + 2 > 0
х > -1
х ≠ 0
х > 3
х > -2
В итоге: х ∈ (3; 6)
Ответ: х ∈ (3; 6)
log_h(f)×log_p(g) v 0 <=> (h-1)(f-1)(p-1)(g-1) v 0
Очевидно, что по этой формуле наше неравенство равносильно следующему:
х²(х/3 - 2)(х + 1) < 0
Домножим на 3:
х²(х - 6)(х + 1) < 0
Корни каждой скобки: 0, 6 и -1 (0 - кратный корень)
Отметим на числовой прямой и решим методом интервалов.
--- + ---(-1)--- - ---(0)--- - ---(6)--- + ---> х
Получили промежуток (-1; 0)∪(0; 6)
Теперь учтем ОДЗ логарифмов.
х + 1 > 0
х + 1 ≠ 1
х/3 - 1 > 0
х + 2 > 0
х > -1
х ≠ 0
х > 3
х > -2
В итоге: х ∈ (3; 6)
Ответ: х ∈ (3; 6)
Автор ответа:
0
Можно ли только одну скобку домножать на 3?
Автор ответа:
0
Да, ведь мы ещё и 0 в другой части на 3 домножаем (выходит всё равно 0)
Похожие вопросы
Предмет: Алгебра,
автор: podolskaya0619
Предмет: Английский язык,
автор: lika7899
Предмет: Математика,
автор: mehemmedm994
Предмет: Алгебра,
автор: karinaFFF