Предмет: Геометрия,
автор: маша1234562
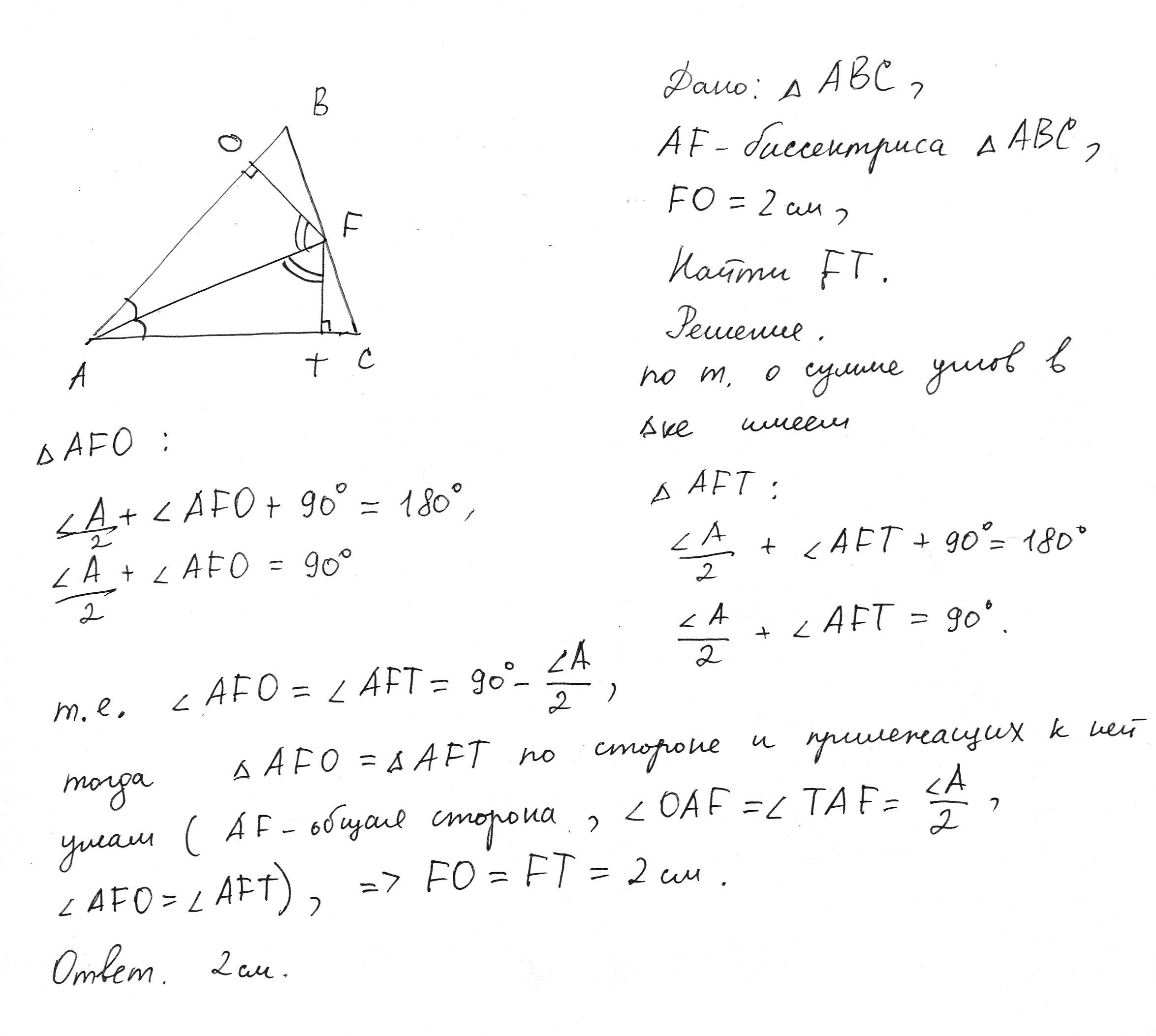
Отрезок AF биссектриса треугольника ABC,высота FO треугольника ABF равна 2см.Чему равна высота FT треугольника AFC??
Ответы
Автор ответа:
0
=====================+++>>>>>
Приложения:
Автор ответа:
0
Спасмбо юольшое
Автор ответа:
0
Большое
Похожие вопросы
Предмет: Русский язык,
автор: 2317g
Предмет: Математика,
автор: osijrgoiuedrhngi
Предмет: Українська мова,
автор: urosvitka
Предмет: Геометрия,
автор: evsegnnewaoa