Предмет: Алгебра, автор: furi135

15x-(-3x-(19-18x))+3x=x+90+2x

Ответы

Автор ответа: Anna12450
0
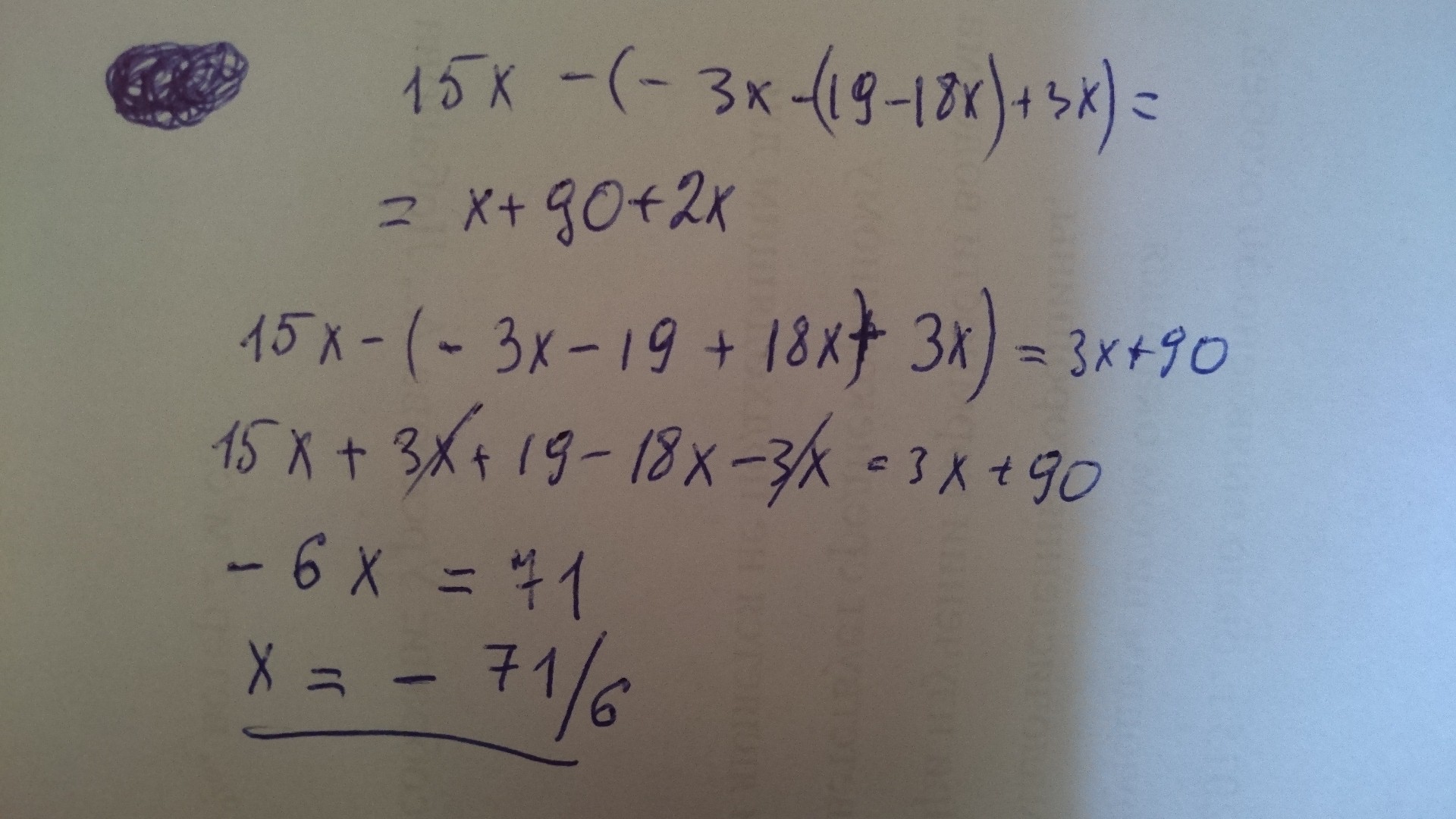
надеюсь, что все правильно
Приложения:
Автор ответа: skvrttt
0
15x-(-3x-(19-18x))+3x=x+90+2x\15x-(-3x-19+18x)=90\15x+3x+19-18x=90\18x-18x=90-19\0x=71
решений нет
Приложения:
Похожие вопросы
Предмет: Английский язык, автор: Аноним
Предмет: Алгебра, автор: Мурад095