Предмет: Алгебра,
автор: Никwp
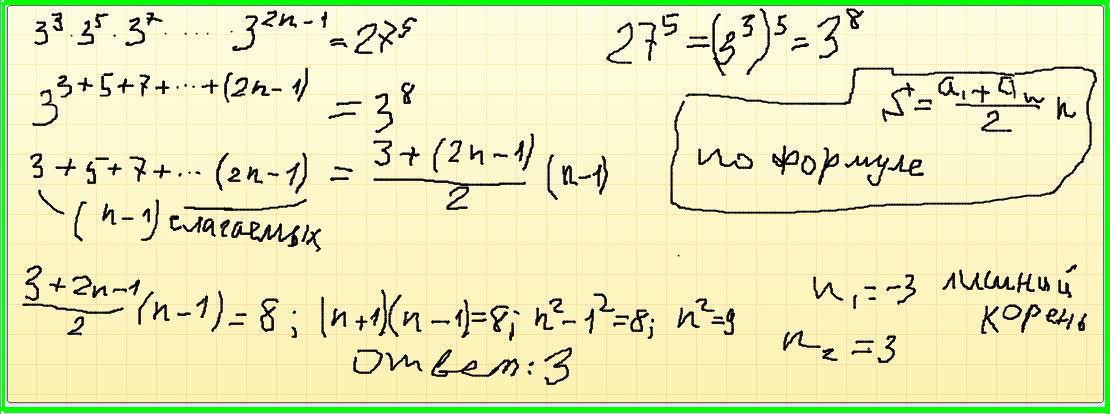
n€N решите уравнение 3^3*3^5*3^7...3^2n-1=27^5
Ответы
Автор ответа:
0
приводим к уравнению 3+5+7+ ... + (2n-1) = 8
в левой части равенства сумма членов арифметической прогрессии
в левой части равенства сумма членов арифметической прогрессии
Приложения:
Похожие вопросы
Предмет: Английский язык,
автор: valeriygvyleva
Предмет: Химия,
автор: redmibodia
Предмет: Другие предметы,
автор: jamshidkaliev
Предмет: Химия,
автор: Ketrina8