Предмет: Геометрия,
автор: HK416Super
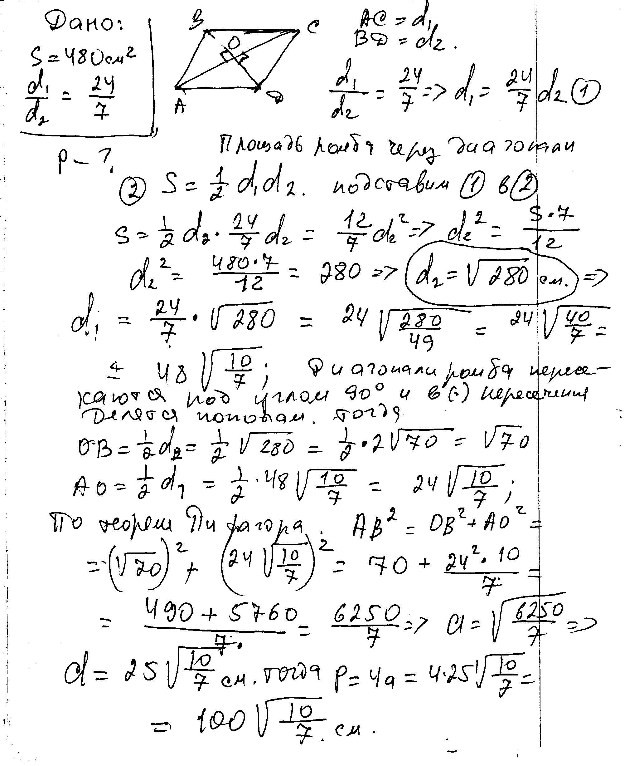
Площа ромба дорівнює 480 см² , а діагоналі відносяться, як 24 : 7. Обчислити периметр ромба.
Ответы
Автор ответа:
0
надеюсь с арифметикой справился.
Приложения:
Похожие вопросы
Предмет: Биология,
автор: luoba1dragan
Предмет: Биология,
автор: neeformall515
Предмет: Математика,
автор: Аноним
Предмет: Математика,
автор: 4083