Предмет: Алгебра,
автор: kolysikwot
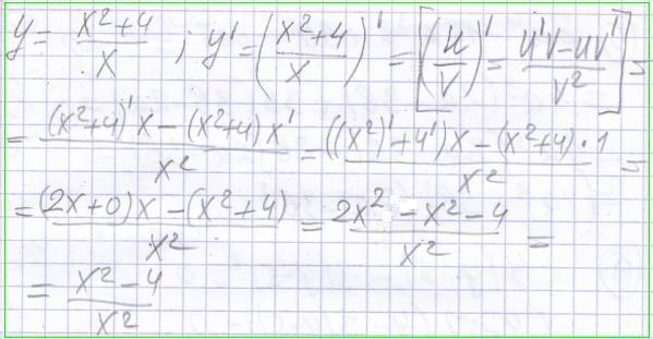
Производная от y= (x^2+4)/x. Подробно и с формулами. Срочно пожалуйста.
Ответы
Автор ответа:
0
посмотрите решение в файле...
Приложения:
Автор ответа:
0
разве, 2х^2-x^2= 1 и тогда (1-4)/х^2 ?
Автор ответа:
0
2x^2 и - x^2 подобные слагаемые, поэтому 2х^2-x^2=1 x^2
Похожие вопросы
Предмет: Українська мова,
автор: arsutaksenia
Предмет: Математика,
автор: katamechan777
Предмет: Оʻzbek tili,
автор: JrVeNoM
Предмет: Математика,
автор: Sharlotcka
Предмет: Математика,
автор: zdan2003