Предмет: Алгебра,
автор: Илья5853
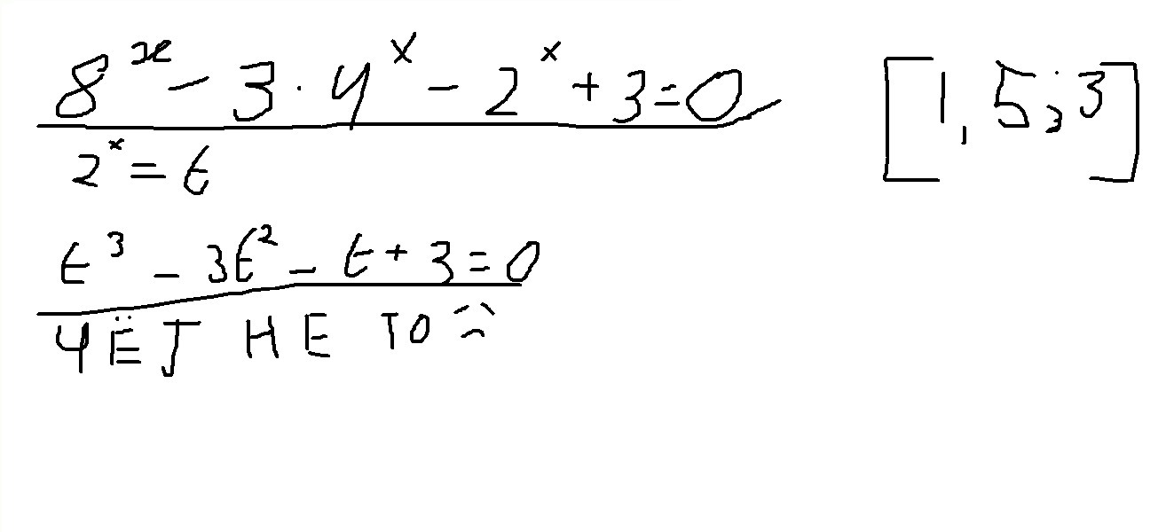
Помогите решить ...
Заранее большое спасибо
Приложения:
Ответы
Автор ответа:
0
t**2(t-3)-(t-3)=0
(t-3)(t**2-1)=0
(t-3)(t-1)(t+1)=0
t=3;1;-1
(t-3)(t**2-1)=0
(t-3)(t-1)(t+1)=0
t=3;1;-1
Автор ответа:
0
чёт не пойму. **-это что и откуда t-3
Автор ответа:
0
чёт не пойму. **-это что и откуда t-3...Можно поподробнее, если можно конечно
Похожие вопросы
Предмет: Английский язык,
автор: Аноним
Предмет: Геометрия,
автор: kairbaeva13
Предмет: Математика,
автор: Nuralica
Предмет: История,
автор: KrchDenchik