Предмет: Алгебра,
автор: 111Мария11
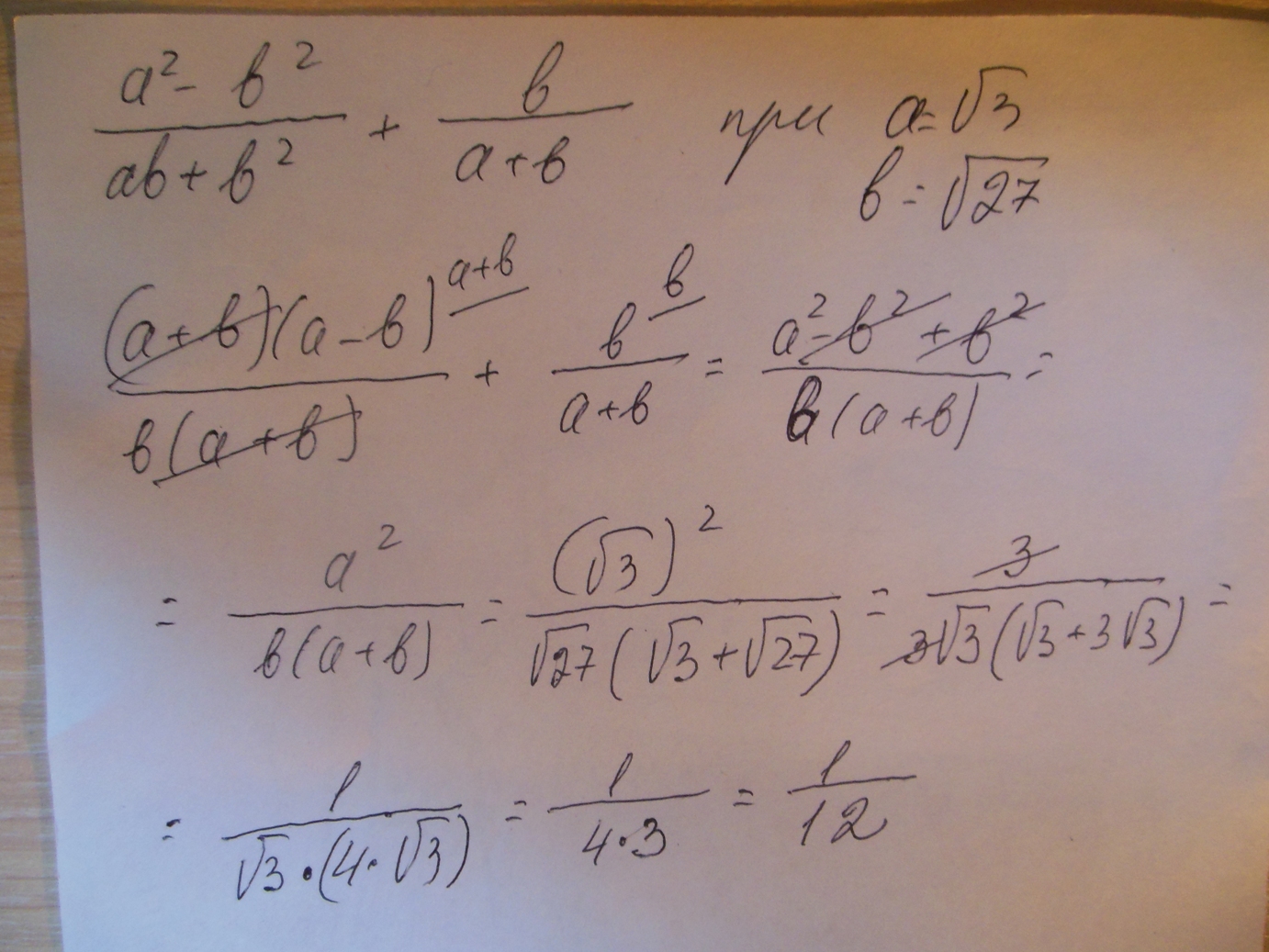
Найдите значение выражения : a^2 - b^2/ ab+b^2 + b/a+b при а=под корнем 3, а б = под корнем 27
с решением и объяснением ♥♥♥
Ответы
Автор ответа:
0
!!!!!!!!!!!!!!!!!!!!!!!!!!!!!!!!!
Приложения:
Автор ответа:
0
Да не за что! Главное, чтобы понятно было!
Автор ответа:
0
помоги пожалуйтса))))решить уравнение 4x+3/4-2x+2/4=1
Автор ответа:
0
что в числителях и знаменателях дробей? Ну хоть скобками выдели!
Автор ответа:
0
(4x+3)/4-(2x+2)/4=1
Автор ответа:
0
ответ добавил в вопрос, где это уравнение
Похожие вопросы
Предмет: Математика,
автор: shizukilove15
Предмет: Алгебра,
автор: hgsdhngfbd
Предмет: История,
автор: katushatim
Предмет: Математика,
автор: kristikri85
Предмет: Экономика,
автор: Svetochkaguzee