Предмет: Математика,
автор: sutyaginadasha
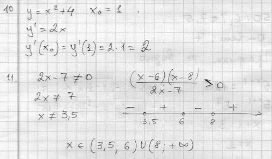
Решите пожалуйста ,что сможете
Приложения:
Ответы
Автор ответа:
0
B1. 1 сырок стоит 6 рублей 70 копеек. Для удобства переведем все в копейки. В 1 рубле 100 копеек. 50 рублей (кол-во денег, на которое надо купить сырки) = 50 * 100 = 5000 копеек. 6 рублей 70 копеек = 6 * 100 + 70 = 670 копеек.
Разделим 5000 на 670 = 7,4 ≈ 7 сырков.
Со вторым заданием могу помочь, если сфоткаете по-ближе
Разделим 5000 на 670 = 7,4 ≈ 7 сырков.
Со вторым заданием могу помочь, если сфоткаете по-ближе
Автор ответа:
0
Со 2 и 5 проблемы!!!!!!!!
Приложения:
Автор ответа:
0
2 и 5 я решила
Похожие вопросы
Предмет: Биология,
автор: gjjhgb76
Предмет: Математика,
автор: anonimych2021
Предмет: Физика,
автор: Blagininaalina00712
Предмет: Математика,
автор: lera00000000