Предмет: Математика, автор: spamkirka1

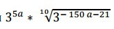
Найти значение выражения при а = - 0,31

Приложения:

Ответы

Автор ответа: iknowthatyoufeelbro
0
 3^{5a}* sqrt[10]{3^{-150a-21}}=sqrt[10]{3^{-150a-21}*3^{50a}}=sqrt[10]{3^{-100a-21}}
Подставим вместо a значение -0.31. Получим:
 sqrt[10]{3^{-100*(-0.31)-21}} = sqrt[10]{3^{31-21}}=sqrt[10]{3^{10}}=3
Похожие вопросы
Предмет: Математика, автор: khromyukkarina