Предмет: Алгебра,
автор: akoryagina
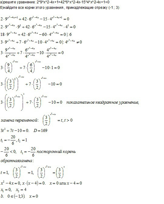
а)решите уравнение: 2*9^x^2-4x+1+42*6^x^2-4x-15*4^x^2-4x+1=0
б)найдите все корни этого уравнения , принадлежащие отрезку (-1 ; 3).
Ответы
Автор ответа:
0
решение во вложении-----------------------
Приложения:
Автор ответа:
0
Решение данного уравнения
Приложения:
Похожие вопросы
Предмет: Окружающий мир,
автор: nastyabelyakova2010
Предмет: Математика,
автор: poxilola43
Предмет: Математика,
автор: vladimircecnev29
Предмет: Математика,
автор: kokoskokos