Предмет: Алгебра,
автор: Аноним
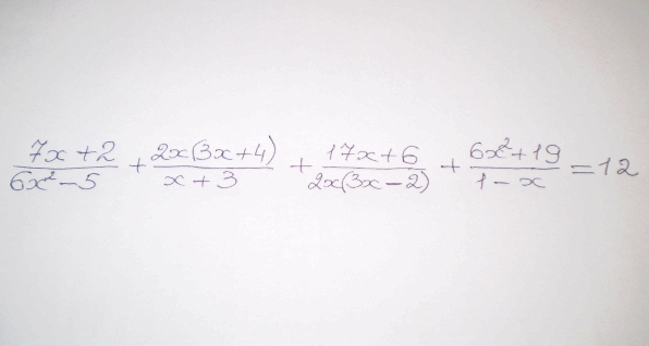
Решите очень простое дробно-рациональное уравнение
Приложения:
Ответы
Автор ответа:
0
Сумма 1-ой и 2-ой дроби после приведения к общему знаменателю равна
.
Сумма 3-ей и 4-ой минус 12 равна
.
Видим, что числители равны, т.е. надо решить уравнение
.
Младший коэффициент после деления на 36 равен 1/6, поэтому возникает подозрение, что корни 1/2 или 1/3. Действительно, оба подходят. Делением на 2х-1 и на 3х-1 находятся еще два корня -3/2 и -2/3.
Теперь остается решить
. После приведения к общему знаменателю, числитель равен 28x²-9x-15, а его корни равны (9+√1761)/56 и (9-√1761)/56.
Сумма 3-ей и 4-ой минус 12 равна
Видим, что числители равны, т.е. надо решить уравнение
Младший коэффициент после деления на 36 равен 1/6, поэтому возникает подозрение, что корни 1/2 или 1/3. Действительно, оба подходят. Делением на 2х-1 и на 3х-1 находятся еще два корня -3/2 и -2/3.
Теперь остается решить
Автор ответа:
0
Молодец в квадрате!!!!! Мне очень приятно, что есть дети, которые заняты полезным для себя и окружающих делом. Вам за это огромное спасибо! Наверное Ваши родители в восторге тем, чем Вы занимаетесь. И Ваше уравнение классное, намного красивее, чем мое. Продолжай заниматься математикой, поскольку только математика-кристально-честная наука. Я надеюсь, что мы и далее продолжим общение насчет математики. Желаю всего наилучшего !
Автор ответа:
0
Спасибо на добром слове! Вы говорили про 3 способа решать ваше уравнение. Хотелось бы про них узнать.
Автор ответа:
0
Первый способ Вы показали, второй способ состоит в том, что к первой дроби прибавим 1, из второй дроби вычитаем 1, к третьей дроби прибавим 1 и из третьей дроби вычитаем 13 и все это приравниваем к нулю, т.е число 12 переводим в левую часть таким образом число -12=1-1+1-13. Третий способ решения есть в моем учительском сайте в интернете.Если Вам интересно посмотрите.
Автор ответа:
0
Да, с единицами, пожалуй самое быстрое.
Автор ответа:
0
В Вашем решении мне лично всё нравится, Вы даже оформление решения как-то по своему и очень логично описываете, что похвально!
Похожие вопросы
Предмет: Математика,
автор: katerinabannih
Предмет: Математика,
автор: abragamhome
Предмет: Обществознание,
автор: maria201954
Предмет: Алгебра,
автор: kgimishli
Предмет: Математика,
автор: Алина200002