Предмет: Алгебра,
автор: maks641
4 Уравнений
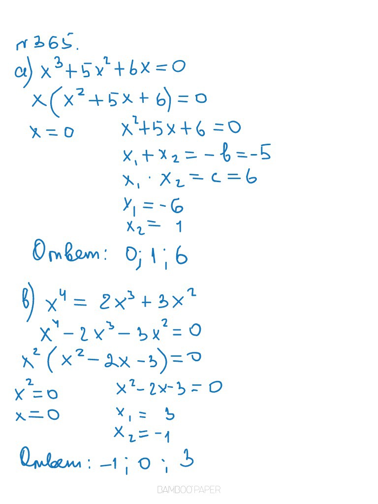
№365 (1 столб.)
Приложения:
Ответы
Автор ответа:
0
Решение данных уравнений
Приложения:
Похожие вопросы
Предмет: Биология,
автор: bagira2912
Предмет: Математика,
автор: Moonnie
Предмет: Математика,
автор: dapletova50
Предмет: Геометрия,
автор: kata89