Предмет: Математика,
автор: Trushsergey1997
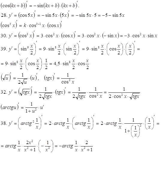
помогите решить какие сможете ( распишите, если не трудно, чтобы вникнуть)
Приложения:
Ответы
Автор ответа:
0
решение во вложении. остальные аналогично, по таблице производных
Приложения:
Похожие вопросы
Предмет: История,
автор: amimilaeva
Предмет: Математика,
автор: pum165458
Предмет: Математика,
автор: spakholkov123
Предмет: Биология,
автор: Angelina5555
Предмет: География,
автор: 1Natasha15