Предмет: Алгебра,
автор: thelenk
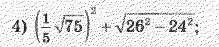
Найдите значение выражения. Просьба расписать подробно.
Приложения:
Ответы
Автор ответа:
0
Ответ: 13
Автор ответа:
0
75 можно записать как 75=5*5*3=
тогда

26 и 24 возводить в квадрат трудно без калькулятора, но мы можем применить формулу разности квадратов к скобке
тогда

а корень из 100 есть 10, таким образом имеем упрощенное уравнение вида:

тогда
26 и 24 возводить в квадрат трудно без калькулятора, но мы можем применить формулу разности квадратов к скобке
тогда
а корень из 100 есть 10, таким образом имеем упрощенное уравнение вида:
Похожие вопросы
Предмет: Математика,
автор: Аноним
Предмет: Биология,
автор: mayastolova
Предмет: Биология,
автор: milanak30
Предмет: Химия,
автор: goodluckfun